$$ P(\theta | D) = \frac{P(D | \theta) P(\theta)}{P(D)} $$
About the workshop
There are two major philosophic interpretations of probability: frequentist and Bayesian. The frequentist interpretation is based on the idea that probability represents the long-term frequency of events. The Bayesian interpretation is based on the idea that probability represents the degree of belief in an event. The Bayesian interpretation can sometimes be more intuitive, and more naturally used to tackle certain problems.
The Bayesian approach is particularly well-suited for modeling uncertainty about a model’s parameters. This is because it allows for the use of prior knowledge to update their posterior probability distribution, which is not directly possible using the frequentist approach.
In this course we introduce the participants to Bayesian methods in machine learning. We start with a brief introduction to Bayesian probability and inference, then review the major approaches for the latter discussing their advantages and disadvantages. We introduce the model-based machine learning approach and discuss how to build probabilistic models from domain knowledge. We do this with the probabilistic programming framework pyro, working through a number of examples from scratch. Finally, we discuss how to criticize and iteratively improve a model.
Learning outcomes
Parameter learning in the Bayesian setup- Get to know the Bayesian methodology and how Bayesian inference can be used as a general purpose tool in machine learning.
- Understand computational challenges in Bayesian inference and how to overcome them.
- Get acquainted to the foundations of approximate bayesian inference.
- Take first steps in probabilistic programming with pyro.
- Get to know the model-based machine learning approach.
- Learn how to build probabilistic models from domain knowledge.
- Learn how to explore and iteratively improve your model.
- See many prototypical probabilistic model types, e.g. Gaussian mixture, Gaussian processes, latent Dirichet allocation, variational auto-encoder, or Bayesian neural networks.
- Learn how to combine probabilistic modeling with deep learning.
Structure of the workshop
Part 1: Introduction to Bayesian probability and inference
We start with a brief introduction to Bayesian probability and inference, then review the basic concepts of probability theory under the Bayesian interpretation, highlighting the differences to the frequentist approach.
- Recap on Bayesian probability.
- Example: determine the fairness of a coin.
- Introduction to pyro.
Source: XKCD 1132
Part 2: Exact inference with Gaussian processes
Gaussian processes are a powerful tool for modeling uncertainty in a wide
range of problems. We give a brief introduction to inference with Gaussian
distributions, followed by the Gaussian process model. We use the latter to
model the CO2 data
from the Mauna Loa observatory. Finally, we explain how sparse Gaussian
processes allow working with larger data sets. Sparse Gaussian process posterior with $4$ pseudo-observations
- Inference with Gaussian variables.
- The Gaussian process model.
- Example: Manua Loa CO2 data.
- Sparse Gaussian processes.
Part 3: Approximate inference with Markov chain Monte Carlo (MCMC)
Because computing the posterior distribution is often intractable, approximate techniques are required. One of the oldest and most popular approaches is Markov chain Monte Carlo (MCMC): Through a clever procedure it is possible to sample from the posterior rather than computing its analytic form. We start with a brief introduction the general class of methods, followed by the Metropolis-Hastings algorithm. We conclude with Hamiltonian MCMC and apply these algorithms to the problem of causal inference.
Causal models for age (A), marriages (M), divorces (D)- Introduction to MCMC.
- Example: King Markov and his island kingdom.
- Metropolis-Hastings, Hamiltonian MCMC, and NUTS.
- Example: Marriages, divorces and causality.
Part 4: Approximate inference with stochastic variational inference (SVI)
MCMC methods suffer from the curse of dimensionality. In order to overcome this
problem stochastic variational inference (SVI) can be used. SVI is a powerful
tool for approximating the posterior distribution using a parametric family.
After explaining the basics of SVI, we discuss common approaches to design
parametric families, such as the mean field assumption. We demonstrate the
power of SVI using variational auto-encoders to model semantic properties of
yearbook images taken within the span of a full century. Variational auto-encoder
Stochastic variational inference schema- Introduction to SVI.
- Posterior approximations: the mean field assumption.
- Amortized SVI and variational auto-encoders.
- Example: Modeling yearbook faces through the ages with variational auto-encoders.
Part 5: Laplace approximation and Bayesian neural networks
In this part we introduce the Laplace approximation and discuss how it can
be used to approximate the posterior of the parameters of a neural network
given the training data. The method combines a Gaussian distribution as the
posterior approximation with a particular estimation technique. We then
comment on how Bayesian neural networks can be used to obtain well-calibrated
classifiers.
Laplace Approximation
- Introduction to Laplace approximation.
- Bayesian neural networks and the calibration of classifiers.
- Example: Bayesian neural networks for wine connoisseurs.
Additional material
The course contains a number of additional topics not included in the schedule. These are made available to the participants after the workshop, but, time allowing, we cover one or two of these topics chosen by the audience.
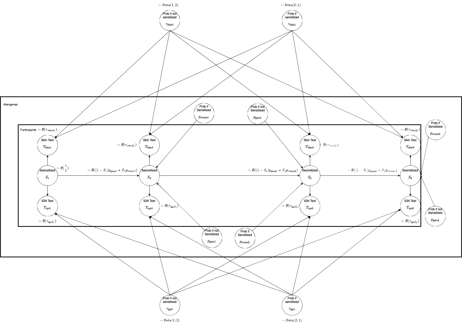
- Example: Understanding influence factors for the development of asthma through Markov chains.
![Graphical model for the development of allergies]()
Graphical model for the development of allergies
- Example: Satellite image clustering with mixture models and latent Dirichlet allocation like models.
Local marginal distributions of the color channels in a satellite image
- Example: Assessing skills by questionnaire’s data with latent skill models.
Prerequisites
- Probabilistic modeling demands a good understanding of probability theory and mathematical modeling. The participants should be familiar with the basic concepts.
- We assume prior exposure to machine learning and deep learning. We will not cover these in the course.
- Knowledge in python is required in order to complete the exercises. Experience with pytorch is not required but can be helpful.
Companion seminar
Accompanying the course, we have offered the seminar Uncertainty quantification for neural networks to cover neighboring topics that could not make it into the course due to time constraints. It was held online over the course of several weeks and consisted of talks reviewing papers in the field.
Our seminar is informal and open to everyone: we welcome participation, both in the discussions or presenting papers.
